Kontorslandskapets förbannelse

Få saker inom arbetslivet har fått en sådan spridning som det öppna kontorslandskapet. Ända sedan introduktionen på 1950-talet har detta sätt att arrangera en arbetsplats varit omåttligt populärt, inte minst bland arbetsgivare som hoppas att det ska leda till såväl förbättrad kommunikation som ökad produktivitet bland sina anställda. Alltmer forskning inom psykologins område börjar dock ifrågasätta de höga förhoppningar som länge har funnits på det öppna kontorslandskapet. Det är nu inte längre tal om fördelarna med öppna kontorsytor, utan snarare den förbannelse som det för med sig.

Det öppna kontorslandskapet slog igenom under 1970-talet när det stod klart att det var ett praktiskt sätt att organisera en arbetsplats utifrån hur en verksamhet växte och förändrades. De anställdas arbetsplatser upptog minimalt utrymme och kunde med en liten kostnad flyttas om efter behov, något som beräknades reducera kontorskostnaderna med cirka 20 %. Det fanns dessutom länge en utbredd tanke om att avsaknaden av fysiska barriärer mellan människor kunde främja kommunikation och kreativitet, vilket i sin tur skulle effektivisera arbetsflödet och göra de anställda mer nöjda med sitt jobb. Många företag har sedan dess använt sig av öppna kontorslandskap i tron att det ska öka deras produktivitet och bidra till ett bättre arbetsklimat, något som har visat sig fungera mer i teorin än i praktiken.

Forskning på öppna kontorslandskap har dock länge varit begränsad, samtidigt som den har kantats med problemet att kunna påvisa ett faktiskt samband mellan arbetsplatsens utformning samt de anställdas prestation och tillfredsställelse. En svårighet har nämligen varit att kunna bevisa att det är kontorslandskapet i sig som påverkar individen, och inte andra organisationsförändringar som brukar vara vanliga när kontor ritas om. Tidiga studier har emellertid visat att mer än hälften av de tillfrågade upplever sig störda av ljud på arbetsplatsen, samt att mängden social kontakt på jobbet faktiskt kan nå en maximal nivå varefter individen känner sig trängd. Det tycks med andra ord finnas en gräns för hur många människor och distraktioner en person klarar av att ha runtomkring sig, något som inom arbetspsykologi kallas för overload eller överbelastning.

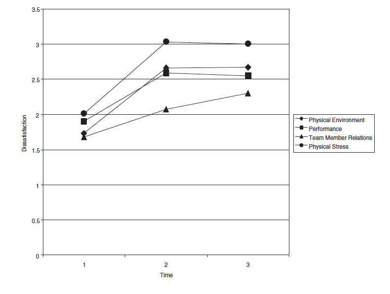
En studie som har undersökt kontorslandskapets inflytande på människor över en längre tidsperiod genomfördes av Theresa Kline, professor i psykologi vid University of Calgary i Kanada. Hon och hennes medarbetare intervjuade anställda på ett oljebolag strax innan, direkt inpå, samt sex månader efter att deras arbetsplats hade förändrats till ett öppet kontorslandskap. Resultatet visade att deras inställning till jobbet påverkades negativt på samtliga områden: tillfredsställelse med den fysiska miljön, prestationsförmåga, relationer till kollegor, samt upplevelsen av stress. Denna förändring visade även hålla i sig över tid, vilket tyder på att de anställda inte tycktes vänja sig vid sina nya arbetsförhållanden, utan fortsatte att uppleva en negativ effekt av att ha förflyttats till ett öppet kontorslandskap.

Theresa Kline menar att resultaten från hennes studie inte är förvånande, och att de går i linje med tidigare forskning på området. Hon anser att tanken om det öppna kontorslandskapet som ett sätt att främja kommunikation och kreativitet mellan anställda är en myt. Problemet som uppstår är nämligen att anställda inte längre har några möjligheter att vara privata, och att samtalen människor emellan istället tenderar att bli ytliga och korthuggna. Detta får även stöd av en studie som nyligen genomfördes av Urs Fischbacher, professor i ekonomi vid Universität Konstanz i Tyskland. Han och hans kollegor fann att den eventuella ökning av samarbete som uppstår till följd av öppna kontorslandskap har tydliga vinnare och förlorare. De individer som ofta söker hjälp ifrån sina kollegor drar stor nytta av att det saknas fysiska barriärer mellan de anställda, medan de som får hjälpa till reducerar sin prestationsförmåga avsevärt. Studien pekar på att det krävs stora mentala resurser för att kunna koncentrera sig på sin egen arbetsuppgift samtidigt som individen ständigt blir avbruten av frågor från andra, något som inverkar negativt på människans informationsbearbetning och produktivitet.

Går det då att underlätta för de personer som trots allt spenderar dagarna i öppna kontorslandskap? Theresa Kline anser att företag behöver bli bättre på att ta till sig kunskap från arbetspsykologi och studier på människors begränsade förmåga till koncentration och multitasking. Hon rekommenderar även organisationer att inrätta särskilda riktlinjer för vad som gäller mellan anställda på arbetsplatsen, exempelvis att inte störa varandra med frågor vid upprepade tillfällen. Dessutom menar hon att tillgängligheten på slutna rum är viktig för att personer ska kunna ha utrymmen att vara privata på, eller när de behöver tystnad för att kunna koncentrera sig på mer komplexa arbetsuppgifter.

Akademisk referens: Brennan, Chugh, & Kline (2002). Traditional versus Open Office Design: A Longitudinal Field Study. Environment and Behavior, 34(3), 279-299.

Käser, P. A. W., Fischbacher, U., & König, C. J. (in press). Helping and Quiet Hours: Interruption-Free Time Spans Can Harm Performance. Applied Psychology.

Foto: http://www.flickr.com/photos/herval